code ascii 31 2b 3f 3d 38

Christopher Benjamin   20/12/2021 00:00

code ascii 31 2b 3f 3d 38

enfant celine dion emilie pecresse election les republicains 2eme tour empaille enfants celine dion enfants de nicolas hulot emploi environnement enfants de marine le pen empreinte sucrée elodie poux

8 computers ideas mouse pad lowercase a multiplication table
8 computers ideas mouse pad lowercase a multiplication table From Pinterest

prénoms anglais fille psg city live prix test pcr egypte psg lens streaming psg manchester streaming psg city streaming psg nice en streaming prix du test pcr profil plus brive psl université

ascii character set www kiuz it

ascii character set www kiuz it

ascii codes slot tech forum

ascii codes slot tech forum

bypass with php non alpha encoder by mucomplex mucomplex medium

bypass with php non alpha encoder by mucomplex mucomplex medium

ascii code the extended ascii table ascii stands for american

ascii code the extended ascii table ascii stands for american

ascii wikiwand

ascii wikiwand

8 computers ideas mouse pad lowercase a multiplication table

8 computers ideas mouse pad lowercase a multiplication table

consider the following c code include stdio h 3 chegg com

consider the following c code include stdio h 3 chegg com

consider the following program and that a long is chegg com

consider the following program and that a long is chegg com

engineer on a disk

engineer on a disk

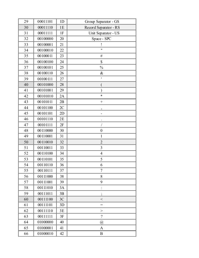
ascii table

ascii table

solved i used this code but the spaces are wrong how can i chegg com

solved i used this code but the spaces are wrong how can i chegg com

ascii codes

ascii codes

dd

dd

ascii code tabel domoticx knowledge center

ascii code tabel domoticx knowledge center

opzioni binarie 60 secondi trucchis abington hours hexadecimal chart decimal chart fraction chart

opzioni binarie 60 secondi trucchis abington hours hexadecimal chart decimal chart fraction chart

ascii table and online character search c and more

ascii table and online character search c and more

8 computers ideas mouse pad lowercase a multiplication table

8 computers ideas mouse pad lowercase a multiplication table

ascii chart

ascii chart

ascii code table printable non printable extended pdf

ascii code table printable non printable extended pdf

ascii code

ascii code

www asciitable com the ascii code character table

www asciitable com the ascii code character table

doc ascii luis calderon ayala academia edu

doc ascii luis calderon ayala academia edu

ascii table tachyon

ascii table tachyon

1

1

tabela asc2

tabela asc2

solved question 2 4 pts you are given the following partial chegg com

solved question 2 4 pts you are given the following partial chegg com

q2 find the precise offset location of each ascii chegg com

q2 find the precise offset location of each ascii chegg com

solved c a quadword data is kept at address 801004h in an chegg com

solved c a quadword data is kept at address 801004h in an chegg com

the basics of exploit development 3 egg hunters coalfire

the basics of exploit development 3 egg hunters coalfire

this can be done in any language please show your chegg com

this can be done in any language please show your chegg com

ascii free knowledge base the duck project information for everyone

ascii free knowledge base the duck project information for everyone

sending ascii messages jgems

sending ascii messages jgems

how is data and alphanumeric format represented in ascii notation quora

how is data and alphanumeric format represented in ascii notation quora

orders of magnitude numbers wiki thereaderwiki

orders of magnitude numbers wiki thereaderwiki

hex 2 ascii code don t shout ie turn off your caps lock change keyboard language coding keyboard language words

hex 2 ascii code don t shout ie turn off your caps lock change keyboard language coding keyboard language words

ascii table ascii code chart with characters values

ascii table ascii code chart with characters values

ascii code values and hexadecimal conversion chart

ascii code values and hexadecimal conversion chart

symbolics genera character set album on imgur

symbolics genera character set album on imgur

how to display ascii characters from 0 to 127 in decimal octal and hexadecimal format using linux bash script stack overflow

how to display ascii characters from 0 to 127 in decimal octal and hexadecimal format using linux bash script stack overflow

ucs unicode and ascii character codes archive builders

ucs unicode and ascii character codes archive builders

©2021 Virgil Mort - All Rights Reserved